糖心vlog

科研成果

当前位置: 糖心vlog -> 科学研究 -> 科研成果 -> 正文

三江源区遥感植被变化对干旱胁迫的多维响应评价

作者: 来源: 阅读次数: 日期:2021-01-07


     1. 标题

· Multidimensional Response Evaluation of Remote-Sensing Vegetation Change to Drought Stress in the Three-River Headwaters, China

· 三江源区遥感植被变化对干旱胁迫的多维响应评价

 

2. 成果信息

· Zhu S, Xiao Z, Luo X, et al. Multidimensional Response Evaluation of Remote-Sensing Vegetation Change to Drought Stress in the Three-River Headwaters, China[J]. IEEE Journal of Selected Topics in Applied Earth Observations and Remote Sensing, 2020, 13: 6249-6259.

· DOI: //doi.org/10.1109/JSTARS.2020.3027347

· 国家自然科学基金项目(51809242——变化环境下极端干旱组合遭遇风险与脆弱性评估,负责人朱双。

 

3. 成果团队成员

· 朱双,糖心vlog (武汉)糖心vlog ,硕士生导师。 研究方向为水文遥感,深度学习,生态环境监测和预警,现主持国家自然科学基金青年基金。

· 罗显刚,糖心vlog (武汉)糖心vlog ,副教授,博导,北德克萨斯大学访问学者。主要研究方向包括生态环境大数据,地质灾害动态预警和人工智能,智能水利,智能城市和云计算,主持并参与了多个重大科研项目。

· 肖祖香,糖心vlog (武汉)糖心vlog ,2018级地图制图学与地理信息工程硕士研究生,研究方向包括长时间序列气象干旱评估和地质灾害预警以及预测研究。

 

4. 成果介绍

摘要

本研究利用MODIS遥感植被指数和标准化降水指数对植被覆盖状况和气象干旱水平进行量化,模拟了气象干旱指数和相关植被覆盖变量的联合分布,推导了植被生物量的条件分布,探讨了植被生物量与干旱之间的多维响应,评估在不同干旱严重程度条件下可能的植被损失。三江源地区是长江,黄河和澜沧江的发源地,研究结果表明,三江源区干旱和植被的时空演化具有明显的区域异质性。东部地区的植被覆盖度明显好于西北地区,而西北地区的植被生长趋势强于东南部地区。研究还发现基于copula方法建立植被干旱多维响应模型是可行的,在三江源大部分地区,干旱事件严重影响了植被覆盖状态,而持续的干旱事件对植被生长的影响要大于短期但高强度的干旱。

研究区域和数据集

 

1. 三江源地理位置,DEM2015年土地使用类型的位置。

三江源区研究基础数据①地理空间数据云网站(//www.gscloud.cn/ )② 遥感数据——植被指数产品(NDVI/EVI):美国国家航空航天局(NASA)EOS/MODIS数据产品//modis.gsfc.nasa.gov/ 降水数据集1961-2016年的中国0.5°×0.5°网格月数据集(V2.0)产品,中国气象科学数据共享服务网(//cdc.cma.gov.cn/)

方法介绍

一、定义干旱指数

干旱深度:最小SPI3值(MIN_SPI

干旱严重程度:SPI3负值累积量(AN_SPI

植被变化量:植被生长季NDVI / EVI差异值(Var_NDVI / Var_EVI

植被响应值:特定气象干旱程度下的植被变化条件概率值(q_NDVI

 

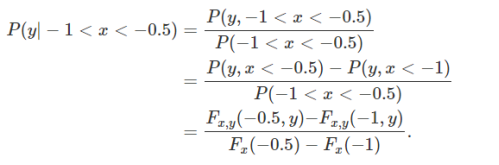
二、植被-干旱响应模型的建立

建立copula联合分布模型,研究干旱条件和植被变化的多重非线性响应。

 

2. 基于copula函数的植被-干旱多维响应模型流程图

假设x代表变量MIN_SPI/AN_SPI/SPIy代表变量Var_NDVI/Var_EVIxy联合分布为Fx, y(x, y) x边际分布为Fx(x)y边际分布为Fy(y)。对于MIN_SPI,如果-1 <x≤-0.50,则检测到轻度气象干旱那么植被变化的条件分布推导如下方程式,不同的干旱程度下的植被变化条件分布以此为例

 

研究结果

 

3. 三江源区SPI的空间分布。(a-i)分别表示5月,6月,7月,8月,9月,春季,夏季,秋季和冬季。

 

4. 使用Mann-KendallMK)趋势检验方法研究SPI的月度、季节趋势变化

 

5. 三江源区植被指数(NDVIEVI)的时空分布。(a-f)分别代表2000/2010/2018年中5月、9月的NDVIEVI

 

6. 使用MK趋势检验方法,研究2000-2018年期间的NDVIEVI的月度和年际趋势。

 

 

7.不同气象干旱水平下植被变化响应值的多维空间分布